Chemical-Suppliers
The independent directory of chemicals and chemical suppliers and producers.
BuyersGuideChem
BGC » Product Search » 4-tert-Butylcalix[6]arene
pr
Suppliers for

4-tert-Butylcalix[6]arene

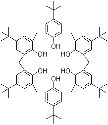
Identification
CAS: 78092-53-2
Formula: C66H84O6
bd
Show all suppliers for the CAS No 78092-53-2
for the following products p-tert-Butylcalix[6]arene and 4-tert-Butylcalix[6]arene
Structural Formula









Chemical-Suppliers
© Copyright 1996 to 2025 by Netvertise GmbH. All rights reserved. Reproduction of any materials from the site is strictly forbidden without permission.